Cofunction Formulas

Index
 
Trigonometry 
Go Back





Even-Odd Identities

Index
 
Trigonometry 
Go Back





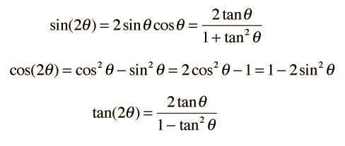
Double-Angle Formulas


Index
 
Trigonometry 
Go Back





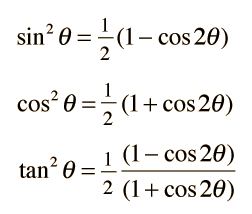
Half-Angle Formulas

Applications:
Rutherford scattering
Index
 
Trigonometry 
Go Back





Power Relations

Applications:
Average electric power
Index
 
Trigonometry 
Go Back