Angle sum and difference

Applications:
Rutherford scattering
Instantaneous electric power
Sum and difference frequencies
Index
 
Trigonometry 
Go Back





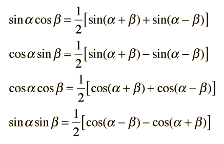
Product Formulas

These relationships express the product of two sinusoids in terms of the sum of two sinusoids. Sometimes it is desirable to express the sum of two sinusoids in terms of a product of sinusoids, as in the description of modulated sine waves. These relationships are called the superposition relationships.

Index
 
Trigonometry 
 Go Back





Superposition Relationships

If the sinusoids represent traveling electromagnetic waves and the arguments of the sinusoids are proportional to frequency, then these relationships show that the superposition of two sinusoids will produce components with the sum and difference of the two frequencies.

Index
 
Trigonometry 
Go Back





Fundamental Identities

Index
 
Trigonometry 
Go Back